I haven't specified to include comments here
ive set up giscus now, so now i am testing the behaviour with .meta.yml
ive set up giscus now, so now i am testing the behaviour with .meta.yml
I'm testing the blog plugin with material for mkdocs. This way i will be able to transfer my blogger posts here!!!
hello chat.
today we are looking at scratchattach.editor
yeah there are some issues
anyway i got bored of that so lets do goboscript programming instead
there is a very weird/annoying bug regarding the %includes right now. hopefully it gets fixed at some point
ive recently switched to archlinux + kde, but i just used archinstall so im not sigma or anything. i wonder if i can use joplin to public publish a portion of my notes, e.g. on github.
I might transfer the stuff from here to there then, but nrn
there might exist gh things you can fork to create a custom blog, or maybe something with github pages idk.
but yeah thats a thing
ive also been making a vscode extension so i learned a bunch of typescript so thats cool (or not) i guess
so yeah, cant be bothered to put anything significant here, no one looks here anyway other than myself, unless i somewhow become not irrelevant and someone actually cares to read this
anyway goodbye, just posting this because i dont want the monke place to die
trying to make a fortune's algorithm for a Voronoi diagram in goboscript
but the doc i was looking at wasnt too transparent on the implementation
im not sure how exactly i will structure it

also btw i implemented parabola struct as a vec3. interesting, i guess, but confusing because its xyz instead of abc
cant think too much about it, but ima work on pengine instead of voronoi rn tb
just implememnted bezply
oh my god pointengine is so, so useful and nice. whats even nicer is being able to edit all of these modules on the fly

supposedly im meant to make a new post now ig
trying to make a comprehensive library for goboscript for my own use
its a bit annoying to be using prefixes instead of namespaces because i want to have my internal module-wide 'global' vars to be restricted there without polluting the area
without operator overloading, calculations with complex numbers/vectors are also annoying, but tolerable.
The most annoying thing is that the macro system is a bit broken. You cant call a macro within a macro
Im trying to refactor my old code but its so bad
aaaa
need to add testing for every module
so i need assert.gs to work nicely first
maybe macros for defining whole functions could be funny#]
things im prolonging
nvm
thinking about credits in goboscript. not sure how that would work
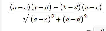
You can get the distance of a point to a line by taking a vector representing the line, and a vector to a point on the line to the point in question, and taking a determinant to get the area formed by the 2 vectors. Then, divide the area of the parallelogram by the side length that is on the line (i.e. the length of the vector representing the line), to get the perpendicular height of the parallelogram.

Like this ^^ where the line is from (a, b) to (c, d) and the point in question is (u, v)

man 3b1b is such a good yt channel
this is why goboscript macros are so funny (line intersection)
refactoring a lot of goboscript code rn
clip.gs is wiwo rn. have to rename some stuff and refactor some things for better code quality
just made tims button detector in gs. quite easy with macros actually
i need to make my f3d gs code more easy to use

Perhaps i would say that the reason why i use goboscript (gs) is because the scratch editor was lagging too much. But there are a couple of other things that are really nice about goboscript.
But perhaps my favourite feature of them all, is the %include
This is because it opens up the door for library development in scratch. Library development in scratch would allow you to use other people's code easier. And being able to use other people's code without having to drag-and-drop out of your backpack is a wonder for the soul.
Just a simple %include
And of course, this is not limited to other people's code. The %include statement simple copy-pastes another goboscript file into another within the preprocessing for compilation.
math.gs module is tested by the test/lib/test_math.gs instead of being bundled with other testing scripts, like test/lib/test_string.gs.holy yap
interestingly, uploading a post without a title just means you only see a date

that is exactly what i wanted. i am probably just going to update this single post today instead of making more. unless i want to make an actual article about something
List of my goboscript repos,
does blogspot have rss feeds? that would be quite nice
oh its literally right here: https://monkeplace.blogspot.com/feeds/posts/default?alt=rss
within the xml itself, there seems to be a difference between having alt=rss and not having that query param, but rss.app renders them the same
annoyingly, i cant comment with the same google account that im using to write this because the chrome profile im using doesnt allow that
maybe i should switch to a new chrome profile actually ill do that
yeah it works :)
meh ima play gs now see how casual this is lol
perhaps this cant serve as a complete replacement for discord. but it is useful for stuff to do with specific projects, idk
yes that reads setip not setup
Since this is supposed to be a blog for everything i do, perhaps i could just write as much stuff here as i want right? this is super casual stuff
i enabled anonymous commenting because sometimes, its annoying to login to random services
oh yes and iirc the real reason i wanted to make this was because i saw so many people using https://note.com/ but thats in japanese and i dont want to have to use google translate all the time
so yes. setip is a reference to some scratch project a while back by the way
goodbye
well i thought that i was sending too many messages in too many discord servers so i figured i would make something like this instead
but it seems to think that i am supposed to write a literal article, lol
i have about 5 'monke place's across multiple discord servers, and i was just thinking of making another, but i think this is enough.
so i made this thing. see if it works, heh
hello world is a thing from programming, obviously
maybe ill just throw this away in a bit, idk
they say the first thing you need to set up when doing any kind of programming is the console output. how are you meant to know what on earth is going on if you have no output!? What a nightmare that would be
anyway,
hello, world!
note 2025-09-02 This is now ported to github!

On Blogger since: July 2025
| About me | |
|---|---|
| Location | Japan |
| Introduction | Oh is this the about me section? i think so..? Oh its something included within it. cool i guess. bit annoying to have all this unformatted on 1 line though. yeah i tried to put a html heading in it and it just threw it away :'( ⚠️This user is suspected of not using proper grammer and punctuation⚠️make sure to tell them off🦆 |
Hit #: